论文发表Publications
[1] Xiaohua Luo, Wei Mao, Chen-Fei Liu, Yu-Qi Wang, Jing Nie,* Shi-Liang Shi,* Jun-An Ma*
& Ming Joo Koh*. Enantioselective synthesis of multifunctional alkylboronates via N-heterocyclic carbene–nickel-catalysed carboboration of alkenes. Nature Synthesis. 2024. https://doi.org/10.1038/s44160-024-00492-x
Congratulations!

[2] Xiaodong Tang,† Ming-Yue He,† Ran Guo, Hao-Nan Liu, Jing Nie, Ilan Marek, Jun-An Ma and Fa-Guang Zhang*. The Smallest Monofluorodiazoethane Reagent and Its [3 + 2] Cycloaddition Reactions. CCS Chem. 2024. DOI: 10.31635/ccschem.024.202403849
Congratulations!

[3] Ze-Long Mei, Cong-Cong Li, Xu Han, Yu-Chen Tian, Shuo-Han Li, Weidong Liu, Ge Qu, Manfred T. Reetz, Zhoutong Sun,* Jun-An Ma,* and Fa-Guang Zhang*. Enzymatic Stereodivergent Access to Fluorinated β‑Lactam Pharmacophores via Triple-Parameter Engineered Ketoreductases. ACS Catal. 2024, 14, 6358–6368. DOI: 10.1021/acscatal.4c00945.
Congratulations!

[4] Weimin Xuan*and Jun-An Ma*. Pinpointing Acidic Residues in Proteins. ChemMedChem, 2024, 19, e202300623. DOI: 10.1002/cmdc.202300623
[5] Xinyi Li, Fa-Guang Zhang, Jun-An Ma,* and Yongjun Liu*. Computational insights into the binding modes, keto-enol tautomerization and stereo-electronically controlled decarboxylation of oxaloacetate in the active site of Macrophomate synthase. Phys. Chem. Chem. Phys., 2024, DOI: 10.1039/D4CP00716F.

[6] Haonan Liu, Jianxu Chen, Zan Yang, Liuyin Jiang, Wenya Liu, Jun-An Ma,* and Saihu Liao*. Light-Controlled Cationic RAFT Polymerization of Vinyl Ethers Using N‑Arylacridinium Photocatalysts. Macromolecules, 2024. https://doi.org/10.1021/acs.macromol.4c00265.

[7] Xiaodong Tang, Yang-Dong Hou, Xing-Fa Tan, Jing Nie,* Chi Wai Cheung,* and Jun-An Ma*. Synergistic Catalytic Asymmetric Decarboxylative Mannich Reaction of β‑Ketoacids with Acyclic α‑Arylenamides. ACS Catal. 2024, 14, 9701−9707. https://doi.org/10.1021/acscatal.4c02238
Congratulations!

[8] Rong Wang, Jing Nie,* Xiaojuan Deng, Guosheng Ding,Fa-Guang Zhang,*and Jun-An Ma*.
Regioselective Synthesis of Multisubstituted Fluoropyrazoles via Silver-Catalyzed One-Pot Cyclization Reaction of Diazo Reagents with Fluoronitroalkenes. Adv. Synth. Catal. 2024, 366, 1 –7. doi.org/10.1002/adsc.202400385

[9] Nicolas Marie, Jun-An Ma, Vincent Tognetti, and Dominique Cahard*. Photocatalyzed Cascade Hydrogen Atom Transfers for Assembly of Multi-Substituted a-SCF3 and a-SCF2H Cyclopentanones. Angew. Chem. Int. Ed. 2024, e202407689. https://doi.org/10.1002/anie.202407689

[10] Shuo-Han Li, Xue Zhang, Ze-Long Mei, Yongjun Liu,* Jun-An Ma,* and Fa-Guang Zhang*. Chemoenzymatic Synthesis of Fluorinated Mycocyclosin Enabled by the Engineered Cytochrome P450-Catalyzed Biaryl Coupling Reaction. J. Am. Chem. Soc. 2024, 146, 19962−19973. https://doi.org/10.1021/jacs.4c03499
Congratulations!

[11] Hao-Yan Wu, Xiaodong Tang,* Ran Guo, Hwee Ting Ang, Jing Nie, Jie Wu, Jun-An Ma,* and Fa-Guang Zhang*. Catalytic photoactivation of a triarylamine electron donor-acceptor complex for difunctionalization of alkenes. Cell Reports Physical Science, 2024. https://doi.org/10.1016/j.xcrp.2024.102135

[12] Haibin Li, Zhiheng Sun, Yue Liu, Yi Xing, Jing Gao, Aihong Shi, Yadong Yu, Jin Long, Dong‐Po Song, Chao Jin, Marc D. McKee*, Jun‐An Ma*, Wenge Jiang.* Chiral gypsum with high‐performance mechanical properties induced by self‐assembly of chiral amino acid on an amorphous mineral. SmartMat, 2024. doi:10.1002/smm2.1302

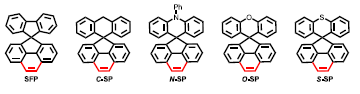
[13] Yuying Zhang, Kanghui Song, Tongtong Wang, Shuai Wu, Gang Xu, Saihu Liao, Jun-An Ma,* and Yuanming Li*. The Synthesis and Properties of Spirophenanthrene. J. Org. Chem. 2024, 89, 12044−12048. https://doi.org/10.1021/acs.joc.4c00782

[14] Hao Zeng, Ruize Yin, Yu Zhao, Jun-An Ma* & Jie Wu*. Modular alkene synthesis from carboxylic acids, alcohols and alkanes via integrated photocatalysis. Nature Chemistry, 2024. https://doi.org/10.1038/s41557-024-01642-6
Congratulations!

[15] Xin-Yi Shi, Xueyuan Yan, Xiaodong Tang, Shi-Jing Zhai, Genping Huang*, Jun-An Ma* and Fa-Guang Zhang. * Nickel-catalysed enantioselective crosselectrophile coupling reaction with the retention of the β-fluorine atom. Org. Chem. Front., 2024. https://doi.org/10.1039/d4qo01555j

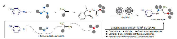
[16] Ting Zhou, Zhong-Wei Zhang, Jing Nie, Fuk Yee Kwong, Jun-An Ma & Chi Wai Cheung. Metallaphotocatalytic triple couplings for modular synthesis of elaborate N-trifluoroalkyl anilines. Nature Communications, 2024. https://doi.org/10.1038/s41467-024-53828-8
Congratulations!

[17] Meng-Qi Sun, Shi-Jing Zhai, Jing Nie, Ying Cheng, Xiaojuan Deng, Guosheng Ding, Dominique Cahard, Jun-An Ma, and Fa-Guang Zhang. Allylation, Alkenylation and Alkynylation of Monofluoromethyl Ketyl Radical Enabled by Photoredox Halogen-Atom-Transfer. ChemCatChem, 2024, e202401622.
https://doi.org/10.1002/cctc.202401622

[18] 吴昊岩, 赫明月, 马军安, 张发光. 三芳胺在光催化反应中的研究进展. Chin. J. Org. Chem. 2024, 44.
DOI: 10.6023/cjoc202408009

[19] Wiktor K. Poper, Jun-An Ma,* and Marcin Jasiński*. One-Pot Telescoping S‑Transfer and Trifluoromethylation for the Synthesis of 2‑CF3S‑Imidazoles with N‑Oxides as Convenient
Precursors. J. Org. Chem. 2024, 89, 15331−15335. https://doi.org/10.1021/acs.joc.4c01761

