开发构建Csp2-Csp3键的新方法对于合成药物分子和天然产物具有重要意义。烯烃的氢芳基化由于避免使用金属试剂,并具有良好的官能团耐受性而受到广泛研究。除了分子内反应外,烯烃的范围主要局限于对称烯烃、电子偏向烯烃、芳基烯烃或末端烯烃(图1)。Sigman课题组开发一系列了无偏烯烃的对映选择性氧化还原-relay Heck反应,陈弓、何刚、彭谦等人报导了钯催化酰胺导向的烯烃高选择性氢化反应,而无偏烯烃的对映选择性氢芳基化是对区域选择性控制的挑战,它可以构建一个孤立的手性中心,但目前还不成熟。
天津大学张淳课题组利用瞬态导向基团的策略,通过钯-氨基酸协同催化实现了无偏烯烃的不对称氢化芳基化反应,以良好的区域选择性和对映选择性构建孤立的δ手性中心,实现独立手性Csp2-Csp3键的构建,具有很重要的应用潜力。相关工作发表在ACS Catalysis上。

图1. 过渡金属催化烯烃的加氢芳基化反应。(图片来源: ACS Catal.)
为了探究该方案的可行性,作者选用(Z)-4-庚烯醛为底物,Pd2dba3.CHCl3作为催化剂,L-缬氨酸作为配体,TMA.HCO2作为氢源,1-碘萘作为氧化剂,烯烃的对映选择性氢化芳基化可以顺利完成,经过条件筛选,能够以73%的产率和95:5的er获得目标产物。在底物扩展过程中发现,该反应可以用于合成广泛存在于各种药物分子中的1,2-二芳基结构,对于烯烃底物上各种电性的芳基取代基,反应都能较好的兼容。此外,延长的烷基链并不影响反应的进行。值得注意的是,当(E)-alkenes作为起始原料时,反应仍能顺利进行以提供相反构型的产物(图2)。

图2. 烯烃的底物扩展。(图片来源: ACS Catal.)
之后,作者将底物范围进一步扩大到多种芳基碘化物(图3),结果表明,具有供电子基团(甲基、甲氧基和苯氧基)和吸电子基团(酯和溴)的起始原料具有良好的产率和高对映选择性,同时杂环底物可以顺利转化为相应的产物。值得注意的是,所有上述转变都具有很高的区域选择性,提供了没有γ异构体的δ产物。

图3. 芳基碘的底物扩展。(图片来源: ACS Catal.)
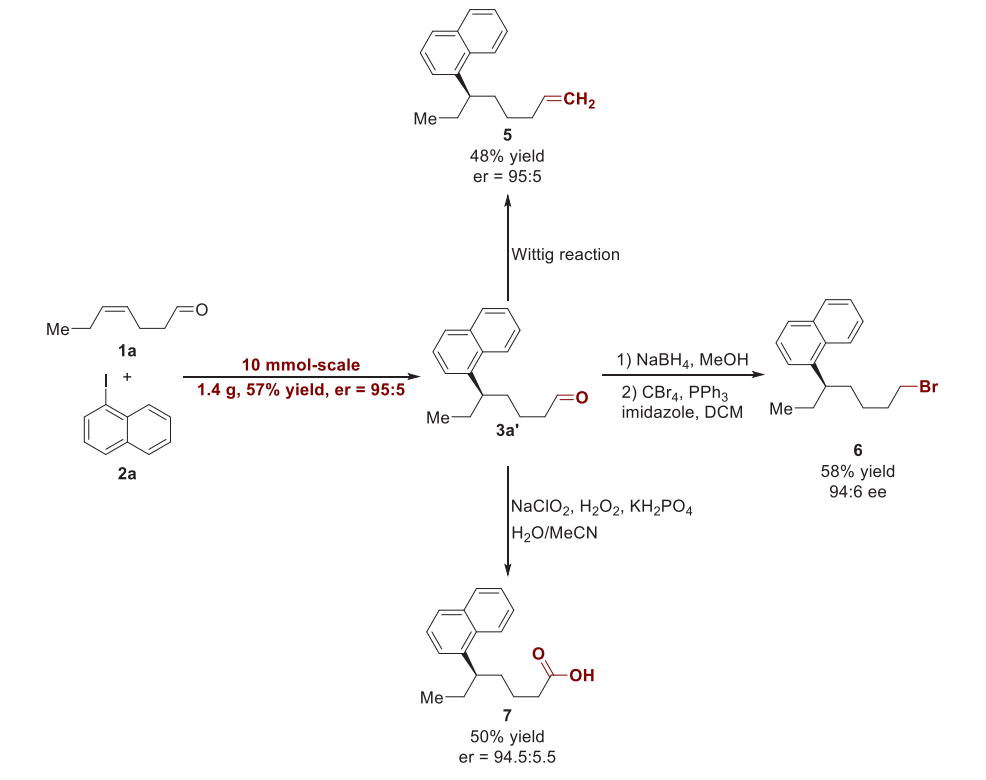
随后,作者对反应进行了克级规模的实验。对于产物的醛基基团,作为通用的有机合成中间体,作者进行了多种转化,例如通过Wittig反应转化为末端烯烃,通过两步反应将C=O双键转化为C-Br键,也可以将产物醛氧化为酸,重要的是,所有进一步转化都能很好地工作,而不会减少产物醛中原来孤立的手性中心的er(图4)。

图4. 克级规模实验及产物的后转化实验。(图片来源: ACS Catal.)
为了研究反应机理,作者设计了动力学同位素效应(KIE)实验和竞争实验(图5)。在低转化率下,当HCO2H与DCO2D混合进行12 h的氢化反应时,可以得到理想的KH:KD = 4.6:1的产物,这一结果表明,在本实验中,C-H/D键形成的步骤是决定产物的。此外,竞争反应表明苯环与吸电子基团可以优先参与反应,证明芳基碘上的吸电子基团能够加速产物决定步骤。

图5. 机理验证实验。(图片来源: ACS Catal.)
在该项研究中黄跟平课题组通过DFT计算结合控制实验对反应机理进行了深入的阐释同时解释了对映选择性的来源(图6)。计算表明,尽管 C-H 还原消除的能量高于迁移插入,但由于脱羧非常容易且不可逆,因此反应的对映选择性应由迁移插入步骤决定。

图6. DFT计算出的最有利路径的能量分布。(图片来源: ACS Catal.)
总结:
张淳小组利用瞬态导向基团的策略,通过钯-氨基酸协同催化实现了无偏烯烃的不对称氢化芳基化反应,以良好的区域选择性和对映选择性构建孤立的δ手性中心,实现独立手性Csp2-Csp3键的构建。相关工作发表在ACS Catlysis (DOI: 10.1021/acscatal.2c01526)上,通讯作者为天津大学张淳教授和黄跟平教授,张淳教授课题组完成化学实验部分,黄跟平教授课题组完成理论计算部分。该项成果的第一作者是天津大学分子+研究院的博士生牛佳盼同学。
文章来源:https://mp.weixin.qq.com/s/GwuVNcyW6a2iojwQnxcWcA
文章链接:https://doi.org/10.1021/acscatal.2c01526