三氟甲基具有强吸电子诱导效应及亲脂性,将其引入到有机分子中能够显著提高有机分子的物理和生物学特性,开发构建含-CF3基团的新方法对于功能材料和药物的发现具有重要意义。近日,天津大学的张淳教授和黄跟平教授课题组开发了一铜催化含-CF3取代基的1,3-二烯的高选择性硼化质子化,该项研究可以实现高效合成具有含-CF3基团的有机硼化物。相关成果在线发表于Angew. Chem. Int. Ed.(DOI: 10.1002/anie.202105896)。
铜催化含-CF3取代基的1,3-二烯的高选择性硼化质子化反应
引入-CF3基团可显著提高有机分子的物理和生物学特性,因此开发构建含-CF3基团的新方法对功能材料和药物的发现具有重要意义。与此同时,有机硼化合物是重要的合成子,该类化合物的C-B键可以在温和条件下被转化为C-C键或C-杂原子键。因此,发展高效合成含三氟甲基的有机硼试剂的方法具有很高的应用潜力。实现对含-CF3取代基的C-C不饱和键进行加成硼化官能团化是制备含CF3有机硼化合物的高效策略之一。但是该类反应容易发生脱氟消除并以生成偕二氟烯烃为主反应。宋秋玲课题组最近开发了一项关于含CF3的1,3-烯炔的二硼化工作,可以很好地抑制脱氟,从而使CF3成为产物的一部分(Chem, 2020, 6, 2347)。尽管对含CF3烯烃的转化进行了深入研究并取得了很大进展,但合成具有良好选择性且使CF3基团得以保留的研究仍然很少,尤其是对映选择性转化。近日,天津大学张淳教授课题组开发了一种铜催化的含CF3的1,3-二烯的高选择性硼化质子化反应,可以合成具有良好官能团耐受性的含CF3有机硼化合物(图1)。

图1.铜催化含-CF3取代基的1,3-二烯的高选择性硼化质子化反应研究(来源:Angew. Chem. Int. Ed.)
作者首先以1-CF3甲基取代的1,3-苯基丁二烯、B2Pin2及乙醇作为原料对反应条件进行了优化,反应在最优条件下以94%的分离收率得到目标产物,且目标产物与脱氟产物的比值高于20:1。为了考察该化学合成方法的底物适用范围,在最优条件下,作者对含CF3-的1,3二烯底物的适用范围进行了考察(图2)。结果表明,该反应具有较好的官能团耐受性,芳环上存在给电子,吸电子基团不影响反应效果,杂环烯烃也能得到比较好的效果,对于脂肪族烯烃也有较好的兼容性。此外,使用手性配体时,可实现不对称转化。


图2.铜催化含-CF3取代基的1,3-二烯的底物拓展
(来源:Angew. Chem. Int. Ed.)
为了证明这种合成方法的应用性,作者进行了放大量实验,在最优反应条件下,1 mmol的1a和4a可以分别以高产率得到所需的产物(图3)。其次,进一步的研究表明这些产品是一种通用的化学合成中间体。产物2a'可以通过氧化反应提供不饱和醛,并通过Matteson conditions延长碳链,此外,5a'的C-B键可以分别通过乙烯基化和溴化转化为C-C键和C-Br键。

图3.合成应用
(来源:Angew. Chem. Int. Ed.)
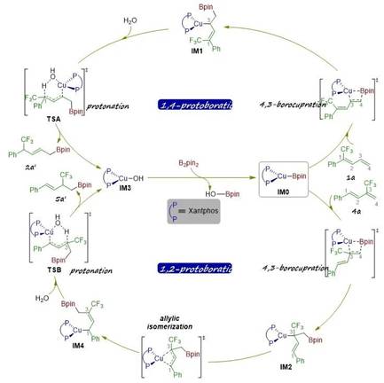
在该项工作中,作者通过DFT计算结合控制实验对反应机理进行了深入的阐释(图4)。DFT计算结果表明该反应优先以六元环过渡态形式发生硼化质子化反应,而不是能量更高的氟消除反应。无论使用1-CF3取代或3-CF3取代的烯烃作为起始原料,该反应均起始于4,3-硼铜加成反应,进而分别生成烯丙基铜中间体IM1和IM2。一方面,IM1通过六元环过渡态TSA在C1原子与H2O进行直接质子化可以生成1,4-硼化质子化产物2a'。另一方面,IM2首先发生烯丙基异构化以生成中间体IM4,之后通过六元环状过渡态TSB在C3原子处进行质子化生成3,4-硼化质子化产物5a'。

图4.可能的反应机理
(来源:Angew. Chem. Int. Ed.)
综上,作者利用铜催化实现了含CF3的1,3-二烯与质子源和硼酯的高选择性硼化质子化。该反应提供了一种实用的方法来制备具有良好官能团耐受性的含CF3的烯丙基硼酯试剂。
在该工作中,张淳教授课题组完成化学实验部分,黄跟平教授课题组完成理论计算部分。该项成果的第一作者是天津大学分子+研究院的博士生吴娟娟同学。
文章来源:
CBG资讯 https://mp.weixin.qq.com/s/iDzo_3RMpdBt4xV1tTDDRg